Название проекта: NDA
Тематика проекта: одежда для беременных опт
Описание: производитель одежды для беременных и новорожденных
Цель: подписчики, лиды на опт
Запрос: лидогенерация
Бюджет: 5 000 - 10 000 руб.
Соцсети: Вконтакте
Период: 3,5 месяца
Когда: 2018 год
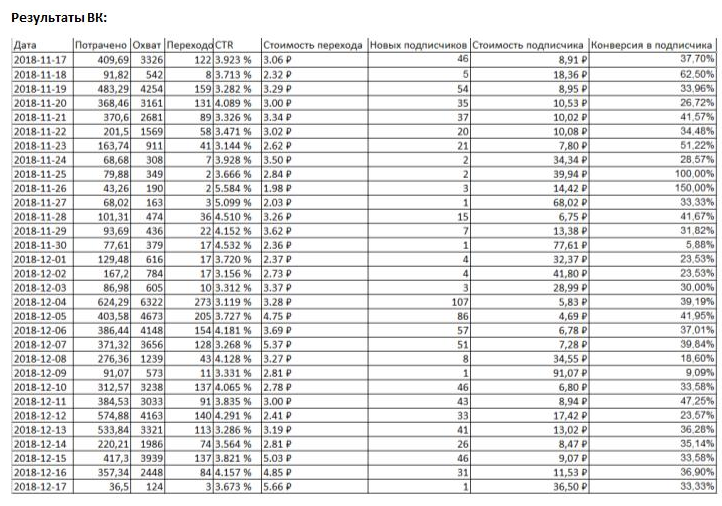
Результат: получено 2 852 новых подписчика по 10 рублей, 3 лида по 114,6 рублей
Привлечение подписчиков и лидов на опт для проекта HunnyMammy
Хочу также!
Название проекта: NDA

Тематика проекта: одежда для беременных опт

Описание: производитель одежды для беременных и новорожденных

Цель: подписчики, лиды на опт

Запрос: лидогенерация

Бюджет: 5 000 - 10 000 руб.

Соцсети: Вконтакте

Период: 3,5 месяца

Когда: 2018 год

Результат: получено 2 852 новых подписчика по 10 рублей, 3 лида по 114,6 рублей
Привлечение подписчиков и лидов на опт для проекта HunnyMammy
Хочу также!
Made on
Tilda